THE IMPACT OF HRM PRACTICES ON EMPLOYEE SATISFACTION AND GUEST LOYALTY IN SERBIAN HOSPITALITY
Apstrakt
Satisfied and motivated employees create a pleasant environment that fosters guest loyalty and enhances the competitive advantage of the hospitality industry. This study examined the relationship between human resource management practices, with a focus on employee motivation development, and the improvement of service offerings and guest satisfaction levels. Data collection for the analysis was conducted using a survey method, and the final sample included 146 questionnaires, collected between January and November 2024. The analysed models indicate that it is necessary to test differences in multiple aspects of satisfaction simultaneously (such as service quality, alignment with expectations, staff courtesy, etc.) for both employees and guests. Therefore, the study applied MANOVA, independent samples T-test, Mann- Whitney U test, and Post-hoc analysis to determine statistical differences between groups. The research results identify areas with a high level of agreement between employees and guests, meaning that the perceptions of guests and hotel employees are quite aligned when it comes to service quality, staff professionalism, and adapting to guest preferences. In the dynamic hospitality environment, there is a constant struggle for guest loyalty, so it is necessary to explore specific goals by identifying the factors that contribute most to guest satisfaction, propose measures to improve employee motivation, and increase guest satisfaction.
Članak
Uvod
Motivacija i zadovoljstvo poslom nisu sinonimi, jer ne garantuju isti uticaj na organizaciono ponašanje. Zadovoljstvo poslom je emocionalni odgovor koji ima za rezultat određeno ponašanje u radnom okruženju, dok je motivacija akcija ponašanja koja se može vratiti sa određenim emocionalnim odgovorima (Stepanov, et al., 2016; Hajiali et al., 2022). U ovom radu, naglašeno je rekomponovanje na način koji prepoznaje razliku između motivacije i zadovoljstva zaposlenih od zadovoljstva gostiju u hotelijerstvu u Republici Srbiji. U opštem smislu, hotelijerstvo je privredna delatnost koja gostima pruža smeštaj, ishranu i dodatne usluge poput wellness-a, organizacije događaja i rekreativnih sadržaja. Kao osnovni deo turizma, omogućava putnicima da uživaju u destinacijama uz odgovarajući komfor. Ključni cilj je ostvariti zadovoljstvo gostiju kroz kvalitetnu uslugu i gostoprimstvo. U savremenim, konkurentnim, uslovima, dolazi do velikih promena u hotelijerstvu. Gosti imaju sve složenije zahteve, postaju probirljivi i koriste različite informacione kanale za svoje gostovanje, s jedne strane, dok hotelijerstvo nastoji da odgovori adekvatnom ponudom svog uslužnog miksa, radi ostvarivanja komparativne prednosti i dugoročnog uspeha na uslužnom tržištu. Hotelijerstvo Srbije pretrpelo je štetne ekonomske posledice usled pandemije korona virusa u 2019. godini (Živković et al. 2021) i mera izolacije stanovništva. Obrasci prema kojima je hotelijerski sektor poslovao menjali su se, tako da transformacija hotelijerstva postaje neophodnost. Funkcionisanje hotelijerstva podrazumeva postojanje objekata, hotela, pansiona i drugih smeštajnih objekata, sa naglaskom na menadžment i efikasnu organizaciju. Kao što je hotelijerstvo reprezentativna delatnost ugostiteljstva, tako i hotel predstavlja njegov najvažniji objekat, jer svojim funkcionisanjem podržava glavne osobine ugostiteljskog procesa koje su prisutne i u ostalim ugostiteljskim objektima, pa shodno tome, on reprezentuje i proizvode ostalih ugostiteljskih objekata. Radi se o sui generis strukturi proizvoda sa materijalnim (prostorne, tehničko tehnološke) i nematerijalnim komponentama (organizacione, kadrovske).
Ciljevi studije
Istraživanje hotelijerstva je aktuelno i značajno sa više aspekata. Sa makroekonomskog aspekta, bitno je za podsticaj razvoja turizma, veću zaposlenost, proširenje uslužnih kapaciteta i doprinos bruto domaćem proizvodu. Sa mikroekonomskog aspekta, ističu se istraživanja u cilju povećanja profitabilnosti hotela, smanjenja fluktuacija radne snage i smanjenja ukupnih troškova. Potom, sa psihološkog aspekta, važno je zadovoljstvo gostiju uslugom, zadovoljstvo zaposlenih poslom, stvaranje lojalnosti gostiju, kroz dobre preporuke i ponovljene hotelijerske usluge. Ima dosta faktora koji utiču na zadovoljstvo gostiju, a neki od njih su: cena usluge, pouzdanost, dostupnost, ljubaznost zaposlenih prilikom pružanja usluge, ažurnost i obezbeđenje materijalnih i tehničkih preduslova, ali i mnogi drugi. Zaposleni u hotelijerstvu utiču na zadovoljstvo gostiju. Njihov doprinos pružanju kvalitetne usluge zavisi od interne komunikacije od strane menadžmenta. Osnovni cilj ovog rada je da identifikuje aspekte na koji zaposleni u hotelijerstvu treba da obrate posebnu pažnju kako bi se povećao nivo zadovoljstva gostiju. U daljem radu, biće istraženi i specifični ciljevi kroz identifikaciju faktora koji najviše doprinose zadovoljstvu gostiju. Analiza specifičnih ciljeva treba da pruži uvid u upravljanje ljudskim resursima u praksi (engl. Human Resources Management - HRM), i da predloži izvesna poboljšanja u hotelijerskoj industriji.
Glavno istraživačko pitanje u radu treba da pruži odgovor na to, da li postoje značajne razlike između srednjih vrednosti aspekata zadovoljstva kod gostiju i zaposlenih u hotelijerstvu. Nulta hipoteza neće govoriti o statistički značajnoj razlici, dok će alternativna hipoteza potvrđivati datu razliku. Prema tome, nultu hipotezu definišemo na sledeći način:
H0: Ne postoji razlika u stavovima između gostiju i zaposlenih u pogledu različitih aspekata zadovoljstva (kvalitet usluge, usklađenost usluge sa očekivanjima, ljubaznost i profesionalnost, brzine i efikasnosti kumunikacije, personalizovani pristup, odnos cena i kvaliteta, generalno zadovoljstvo boravkom u hotelu i povratnim informacijama).
Za potrebe ove studije razvijene su sledeće alternativne hipoteze, a odnose se na: H1: Postoji značajna razlika u kvalitetu usluge između gostiju i zaposlenih
H2: Postoji značajna razlika u oceni usklađenosti usluge sa očekivanjima između gostiju i zaposlenih
H3: Postoji značajna razlika u oceni ljubaznosti i profesionalnosti između gostiju i zaposlenih.
H4: Postoji značajna razlika u oceni brzine i efikasnosti komunikacije između gostiju i zaposlenih.
H5: Postoji značajna razlika u oceni personalizovanog pristupa između gostiju i zaposlenih.
H6: Postoji značajna razlika u oceni prilagođavanja preferencijama između gostiju i zaposlenih
H7: Postoji značajna razlika u oceni odnosa cene i kvaliteta između gostiju i zaposlenih.
H8: Postoji značajna razlika u generalnom zadovoljstvu boravkom između gostiju i zaposlenih.
H9: Postoji značajna razlika u oceni mogućnosti davanja povratnih informacija između gostiju i zaposlenih.
Pregled literature
Motivacija zaposlenih u hotelijerstvu označava ključnu odrednicu efektivnosti hotelijerske industrije, jer neposredno utiče na kvalitet pružanja usluge i zadovoljstvo gostiju. Profesionalnost pruženih usluga pozitivno utiče na iskustvo gostiju i održavanje njihovog poverenja kroz ponovljene posete i pozitivne preporuke. Za sticanje komparativne prednosti veoma je važna lojalnost. Postoje različiti faktori koji utiču na sticanje komparativne prednosti u hotelijerskoj industriji, a najčešće spominjani su lokacija, komunikacija, personalizovana ponuda, elitizam pružanja usluga, ekološka briga i drugi. Pritisak konkurencije ne sme se zanemariti. Veoma je izvesno da svaka neusaglašenost hotelijerske ponude sa hotelijerskom tražnjom, može za posledicu imati neuspeh, kroz gubitak poverenja gostiju. U ovom slučaju lojalnost gostiju i briga oko održavanja poverenja klijenta u hotelijersku uslugu treba da bude prioritet. To je jedino moguće ukoliko postoji zadovoljstvo poslom. Ovu temu je istraživala grupa autora navodeći da zadovoljstvo poslom predstavlja stepen u kojem su pojedinci zadovoljni svojim poslom i vole ga (Božović et al., 2019; Bolatito i Yasin, 2024). U naučnom opusu pojedini autori prepoznaju „elitizam“ u hotelijerstvu. Hoteli se pozicioniraju na vrhu međunarodne hotelske industrije kroz efikasnu primenu dizajna i stila, prestižnim i distinktivnim pozicioniranjem na tržištu, stvaranjem „elitizma“ u hotelu, ali i u okruženju. (Gillespie, i Morrison. 2000; Power et al., 2024) Autori pažnju posvećuju sadržajima za pružanje raznovrsnih wellness i spa tretmana, zdravstvenih, sportsko-rekreativnih i zabavnih sadržaja (Pavlović et al., 2024; Jones, 2024). Mnogi autori, svoja istraživanja usmeravaju na ispitivanje veza između HRM i performansi u hotelskoj industriji. Oni nedvosmisleno ukazuju da je učinak hotela u pozitivnoj korelaciji sa zapošljavanjem, selekcijom kadrova, obukom, sistemom plata i nagrađivanja. (Chand i Katou, 2007). Istraživanja pokazuju da povećanje nivoa zadovoljstva gostiju hotela može da se postigne isključivo povećanjem odgovornosti prema njihovim potrebama, što sa druge strane doprinosi poboljšanju performansi hotelske organizacije. Poboljšanja HRM praksi rezultat su, ne samo tehničkih i operativnih mera, nego i menadžerskih i organizacionih sposobnosti (Chand, 2010; Cho i Choi, 2021). Rezultati jedne studije iz Egipta pokazuju da gosti više preferiraju neposredni kontakt sa zaposlenima, nego korišćenje tehnologije zasnovane na samouslužnom procesu, koji se mogu dobiti u nekim hotelima sa pet zvezdica (Kattara i El-Said, 2013). Nasuprot tome, rezultati autora Salem-a potvrđuju značajniju negativnu vezu među zaposlenima u kontaktu sa gostima nego među zaposlenima u odeljenju bez kontakta sa gostima (Salem, 2015). Zato donosioci odluka treba da uzmu u obzir pitanja u vezi sa profesionalizacijom i poboljšanjem kvaliteta usluga, jer su njihove posledice neposredne i proporcionalne. Donosioci ekonomskih odluka dugo su ignorisali različitost nivoa usluga, naglašavajući potencijal uslužne delatnosti kao izvor novih radnih mesta, dok se odlagao trenutak profesionalizacije i podizanja kvaliteta usluga. Zato je literatura dostigla fazu zrelosti tek kada je započeta analiza odluka i njihovih posledica u cilju povećanja performansi. Rezultati jedne studije pokazuju da na konkurentsku prednost najveći uticaj imaju nefinansijske performanse u odnosu na finansijske i da odluke koje se odnose na tehnologiju, objekte i organizaciju, kao i razvoj novih usluga mogu dovesti do boljih performansi (Espino-Rodríguez i Gil-Padilla, 2015). Novija istraživanja proširuju koncept HRM ukazujući na centralnu ulogu koju ima menadžerska filozofija unutar hotelskog sektora i kako HRM praksa utiče na iskustvo zaposlenih u vezi sa radom. (Walker i Nickson, 2024). U jednom istraživanju, subjekti studije bili su klijenti međunarodnih turističkih hotela u oblasti Tajpeja. Podaci prikupljeni za ocenu kvaliteta usluge za međunarodne hotele pokazali su da je među 16 indikatora, prvih pet indeksa rangirano po važnosti: volja za uslugom, stručnost, reaktivnost, pouzdanost i ljubaznost. Istraživački rezultati su pokazali da je "Reaktivnost" bila najvažnija za kvalitet usluge u međunarodnim turističkim hotelima (Chang, 2014). Radi se o ključnom aspektu pružanja usluge koji podrazumeva promptno reagovanje zaposlenih u hotelijerstvu na zahteve gostiju, kako bi se doprinelo zadovoljstvu i lojalnosti gostiju. Treba imati u vidu da top menadžment ima glavnu ulogu u podsticanju motivacije zaposlenih na kvalitet hotelijerske ponude i povećanje zadovoljstva gostiju.
Metodologija istraživanja
U ovom radu primenjuju se analitičke metode i to: deskriptivna statistika: prikaz prosečnih ocena zadovoljstva za obe grupe, zaposlenih i gostiju, radi lakšeg poređenja; Multivarijantna analiza varijanse (MANOVA) i T-test za nezavisne uzorke i Mann-Whitny U test, radi utvrđivanja razlike između grupa sa ciljem utvrđivanja statističke značajnosti razlika u stavovima između grupa, kao i Post-hoc analiza. Za otvorena pitanja, primenjuje se kvalitativna analiza, tj. tematska analiza odgovora. Za empirijsko istraživanje stavova zaposlenih i gostiju u hotelijerstvu Republike Srbije, pitanja u upitniku kategorisana su na sledeći način. Prva grupa sadrži pitanja koja se odnose na demografske i geografske podatke: opšte informacije, (starost, nivo obrazovanja, tip gostiju); pitanja za zaposlene (motivacija, obuka, radni uslovi) i pitanja za goste (zadovoljstvo, očekivanja, lojalnost). Pitanja su formulisana i obrađena u formatu koji omogućava upoređivanje statističkih parametara između gostiju i zaposlenih u hotelu. Na taj način je moguće uporediti njihove odgovore kako bi se identifikovale potencijalne razlike u percepciji zadovoljstva. Molba za učestvovanje u istraživanju, poslata je na 357 adresa hotela, dok je u anketi učestvovalo 213 ispitanika, ali je validno popunjeno 146 upitnika. Numerički je valjan uzorak jer obuhvata oko 40.92%. popunjenih upitnika od ukupnog broja poslatih molbi. Anketa je sprovedena potpuno anonimno, a podaci su prikupljeni nezavisno za obe grupe. U istraživanju nefinansijskih pokazatelja, težište istraživanja obuhvata: zadovoljstvo kvalitetom usluge, usklađenost usluge sa očekivanjima, ljubaznost i profesionalnost osoblja, brzina i efikasnost komunikacije, personalizovani pristup, prilagođavanje preferencijama, odnos cene i kvaliteta.
Rezultati istraživanja
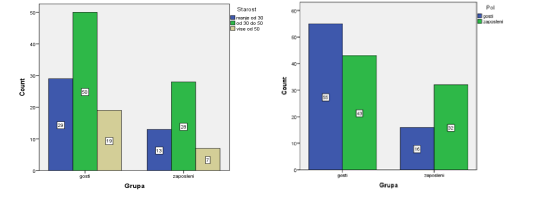
Na osnovu distribucije demografskih karakteristika prikazano je učešće ispitanika - gostiju i zaposlenih. Gosti čine 67.1% ukupnog uzorka, dok zaposleni čine 32.9%. Starosnu grupu od 30 do 50 godina, čine 53,4% svih ispitanika. Većina ispitanika (69,2%) dolazi iz zemlje, dok manji udeo (30,8%) dolazi iz inostranstva. Ukupna distribucija pokazuje viši nivo obrazovanja među većinom ispitanika, pri čemu diplomirani studenti čine polovinu uzorka. Ovi podaci pokazuju da najveću grupu čine ispitanici sa fakultetskim obrazovanjem (50.7%), zatim slede oni sa srednjim obrazovanjem (21.9%) i master diplomom (19.2%). Manji udeo ispitanika ima završeno osnovno obrazovanje (3.4%) ili doktorat (4.8%). Ukupna distribucija pokazuje viši nivo obrazovanja među većinom ispitanika, pri čemu diplomirani studenti 74 ispitanika čine polovinu uzorka. Prema podacima o zaradi ispitanika, većina njih (84.2%) zarađuje više od 600 evra mesečno, dok manji udeo ispitanika (15.8%) ima manju mesečnu zaradu, ispod 600 evra. Ovi podaci ukazuju na to da većina ispitanika spada u grupu s višim prihodima, dok samo manji procenat ima nižu zaradu.(Slika 1.)
Slika 1. Distribucija demografskih karakteristika (pol, starost, prebivalište, obrazovanje i zarada) za grupu (gosti i zaposleni u hotelijerstvu)


Uvidom u podatke iz tabele (Tabela 1.) zapažamo da gosti daju više prosečne ocene za skoro sve aspekte zadovoljstva u poređenju sa zaposlenima. Razlika u standardnoj devijaciji pokazuje veću varijabilnost u ocenama gostiju nego zaposlenih (što je i očekivano jer gosti predstavljaju heterogeniju grupu). Iako su zaposleni za kvalitet usluge dali nešto višu prosečnu ocenu u odnosu na goste razlika možda nije značajna zbog male standardne devijacije zaposlenih (Gosti: M=4.35, SD=1.49; Zaposleni: M=4.65, SD=0.48). Kod usklađenosti usluge sa očekivanjima velika je razlika između gostiju i zaposlenih, sa ekstremno malom varijansom kod zaposlenih. (Gosti: M=4.35, SD=1.49; Zaposleni: M=2.00, SD=0.00). Ova stavka odražava različite perspektive i može biti ključna za analizu. Za ljubaznost i profesionalnost osoblja, iako su razlike male, treba ih proveriti kroz testove značajnosti (Gosti: M=4.69, SD=0.83; Zaposleni: M=4.58, SD=0.50). Značajna je razlika u percepciji personalizacije usluge. Ovo može biti važna stavka za unapređenje (Gosti: M=4.73, SD=0.74; Zaposleni: M=3.69, SD=0.66). Kod prilagođavanja preferencijama postoji značajna razlika u percepcijama (Gosti: M=4.76, SD=0.72; Zaposleni: M=4.19, SD=0.57). Razlika u percepciji odnosa cene i kvaliteta sugeriše potencijalne nesuglasice u standardima ili očekivanjima (Gosti: M=4.84, SD=0.68; Zaposleni: M=4.19, SD=0.64).

Ispitivanjem testa normalnosti distribucije, (Tabela 2) utvrđujemo korelaciju između podataka i očekivanih vrednosti normalne distribucije. Većina podataka pokazuje značajno odstupanje od normalne distribucije (Kolmogorov-Smirnov i Shapiro- Wilk), jer su p vrednosti za sve varijable manje od 0.05, što ukazuje na potrebu za primenom neparametarskih testova.
Tabela 2. Test normalnosti distribucije


U ovom istraživanju želimo da testiramo razlike između grupa na više zavisnih varijabli istovremeno, tako da primenjujemo Multivarijantnu analizu varijanse (MANOVA).
Tabela 3. Pregled rezultata multivarijantnih testova

Rezultati iz tabele (Tabele 3.) ukazuju na značajne globalne razlike u percepciji aspekata zadovoljstva između gostiju i zaposlenih, Efekat grupe (Grupa) statistički je značajan za sve testove (Pillai's Trace, Wilks' Lambda, Hotelling's Trace, i Roy's Largest Root), jer je p-vrednost (Sig.) manja od 0.05 (p = .000). Partial Eta Squared = .962 za efekat grupe. Grupa objašnjava 96.2% varijanse zadovoljstva, što predstavlja veoma jak efekat. Na osnovu ovih rezultata, možemo potvrditi da postoji značajna razlika u aspektima zadovoljstva između gostiju i zaposlenih, tako da je opravdano sprovođenje daljih testova da bi se identifikovalo koji konkretni aspekti zadovoljstva doprinose ovim razlikama. Uvažavajući činjenicu da zaposleni u hotelu nisu istovremeno i gosti hotela koji su intervjuisani, u analizu uvodimo i Mann- Whitney U test, jer su varijanse među grupama nejednake. U nastavku primenjujemo verziju t testa koja ne pretpostavlja jednaku varijansu.
Tabela 4. T - statistika

U narednom pregledu (Tabela 5.) predstavljeni su rezultati t-testa za nezavisne uzorke kako bi se utvrdila statistička značajnost razlika u stavovima između zaposlenih i gostiju.
Tabela 5. Pregled rezultata t-testa za nezavisne uzorke

Rezultati t-testa za nezavisne uzorke, za svaki aspekt zadovoljstva pokazuju sledeće:
H1: Kvalitet usluge. Ne postoji statistički značajna razlika u kvalitetu usluge između gostiju i zaposlenih p = 0.177 (p > 0.05). U tom smislu nije moguće odbaciti osnovnu hipotezu (H0) i prihvatiti alternativnu hipotezu (H1).
H2: Usklađenost usluge sa očekivanjima. Postoji statistički značajna razlika između gostiju i zaposlenih u pogledu usklađenosti usluge sa očekivanjima: p = 0.000 (p < 0.05). Odbacujemo osnovnu hipotezu (H0) i prihvatamo alternativnu hipotezu (H2).
H3: Ljubaznost i profesionalnost. Ne postoji statistički značajna razlika u oceni ljubaznosti i profesionalnosti između gostiju i zaposlenih p = 0.397 (p > 0.05). U tom smislu nije moguće odbaciti osnovnu hipotezu (H0) i prihvatiti alternativnu hipotezu (H3).
H4: Komunikacija. Postoji statistički značajna razlika u oceni komunikacije između gostiju i zaposlenih: p = 0.021 (p < 0.05). Odbacujemo osnovnu hipotezu (H0) i prihvatamo alternativnu hipotezu (H4).
H5: Personalizovani pristup. Postoji statistički značajna razlika u oceni personalizovanog pristupa između gostiju i zaposlenih (p = 0.000 (p < 0.05). Odbacujemo osnovnu hipotezu (H0) i prihvatamo alternativnu hipotezu (H5).
H6: Prilagođenost preferencijama. Postoji statistički značajna razlika u oceni prilagođenosti preferencijama između gostiju i zaposlenih, p = 0.000 (p < 0.05). Odbacujemo osnovnu hipotezu (H0) i prihvatamo alternativnu hipotezu (H6).
H7: Odnos cene i kvaliteta. Postoji statistički značajna razlika između gostiju i zaposlenih u pogledu odnosa cene i kvaliteta: p = 0.000 (p < 0.05). Odbacujemo osnovnu hipotezu (H0) i prihvatamo alternativnu hipotezu (H7). Gosti i zaposleni imaju različite stavove o odnosu cene i kvaliteta.
H8: Zadovoljstvo boravkom u hotelu. Postoji statistički značajna razlika između gostiju i zaposlenih u pogledu zadovoljstva boravkom u hotelu: p = 0.000 (p < 0.05). Odbacujemo osnovnu hipotezu (H0) i prihvatamo alternativnu hipotezu (H8).
H9: Feedback informacije. Postoji statistički značajna razlika u oceni mogućnosti davanja feedbacka između gostiju i zaposlenih, p = 0.012 (p < 0.05). Odbacujemo osnovnu hipotezu (H0) i prihvatamo alternativnu hipotezu (H9).
Statistički značajna razlika uglavnom postoji u posmatranim aspektima za grupu zaposlenih i gostiju, izuzev za kvalitet usluge i ljubaznost i profesionalnost. Za razliku od gostiju koji daju više ocene, kod zaposlenih su evidentne niže ocene, posebno u aspektu prilagodljivosti, što otvara prostor za dalju post hoc analizu za kvalitet usluge (Tabela 6.) i ljubaznost i profesionalnost (Tabela 7.)
Tabela 6. Pregled rezultata post hoc analize za kvalitet usluge

Izvor: Proračun autora primenom programa IBM SPPS Statistics.
Post hoc analiza za kvalitet usluge dokazuje da model objašnjava vrlo malo varijanse (Adjusted R Squared = 0.006), što je pokazatelj da faktor grupa nije važan za objašnjenje razlika u kvalitetu usluge. Takođe, model koji je korišćen za analizu razlika između gostiju i zaposlenih u pogledu ljubaznosti i profesionalnosti, u vrlo maloj meri objašnjava varijacije u podacima (model objašnjava samo 0.5% varijacije u zavisnoj varijabli), što dodatno podržava zaključak da razlika između grupa nije značajna.
Tabela 7. Pregled rezultata post hoc analize za ljubaznost i profesionalnost

Zaključak i preporuke
Na osnovu rezultata testiranja hipoteza, identifikovali smo područja za koja postoji visok nivo saglasnosti između zaposlenih i gostiju. U pogledu kvaliteta usluge, nema značajne razlike u percepciji između gostiju i zaposlenih, što sugeriše da su gosti generalno zadovoljni kvalitetom usluge, ali da i zaposleni imaju slične percepcije u vezi s tim. Potvrđena je konstatacija da se standardi o kvalitetnom pružanju usluga uniformno primenjuju od strane zaposlenih, a da su gosti zadovoljni pruženim uslugama. Takođe, u percepcijama o ljubaznosti i profesionalnosti osoblja između gostiju i zaposlenih, evidentno je da gosti i zaposleni ocenjuju ljubaznost i profesionalnost osoblja na veoma sličan način. Gosti smatraju da su njihove potrebe zadovoljene na sličan način kako ih zaposleni percipiraju. Generalno, može se izvesti zaključak o usklađenosti percepcija zaposlenih i gostiju, izuzev nekih aspekata koji zahtevaju proširenje istraživanja. Dobijene rezultate istraživanja moguće je uporediti sa dosadašnjim sprovedenim analizama i na taj način uočiti faktore koji mogu uticati na zadovoljstvo.
Za ostale aspekte testiranja hipoteza, identifikovali smo da područja u kojima postoje različite percepcije zaposlenih i gostiju. Na osnovu ovog istraživanja i analize odgovora na otvorena pitanja u upitniku mogu se uputiti konkretne preporuke menadžmentu kako bi se smanjio jaz između percepcije zaposlenih i gostiju. Za zaposlene treba razmotriti mogućnost uvođenja fleksibilnog radnog vremena prema sopstvenim potrebama, naročito slobodne dane, organizovanje motivacionih programa i dodatnih treninga i obuka u dodatnu personalizaciju, kako bi bolje razumeli očekivanja gostiju, raznih stimulacija novčanih i nenovčanih, poboljšanje komunikacije i redovno praćenje kako aktivnosti od strane menadžmenta utiču na zaposlene u pružanju usluga. Gosti hotela očekuju visok nivo gostoprimstva, prijatan ambijent, poboljšanje komunikacije i fleksibilnost u zadovoljenju njihovih potreba. Treba analizirati utiske gostiju putem povratnih informacija i sprovoditi akcije kojima će se povećati njihova lojalnost i poboljšati stavovi u vezi njihovih očekivanja. Poboljšanje ovih aspekata i redovno praćenje uvida i unapređivanje komunikacije, može direktno uticati na smanjenje jaza u percepciji između zaposlenih i gostiju, identifikovati prilike za očuvanje i unapređenje konkurentske prednosti.
Reference
(1): 63–76. Univerzitet u Beogradu, FON. DOI: 10.7595/management.fon.0035.
2.Bolatito, A-O. S., i Yasin, A. M. 2024. „Reward Management and Employee Performance: A Review of Job Satisfaction in Somalia.“ TWIST, Vol. 19 (1): 128- 137.
3.Chand, M., i Katou A.A. 2007. „The Impact of HRM Practices on Organizational Performance in the Indian Hotel Industry“. Employee Relations 29 (6): 576–594. https://doi.org/10.1108/01425450710826096.
4.Chand, M. 2010. „The Impact of Human Resource Management Practices on Organizational Performance in the Indian Hotel Industry. “ The International Journal of Human Resource Management 21 (4/6): 551–566. London: Routledge. ISSN 0958-5192.
5.Chang, W.Y. 2014. „A Study on the Key Success Factors of Service Quality for International Hotels“. Acta Oeconomica 64: 25–37. http://www.jstor.org/stable/ 24857560.
6.Cho, Y., i Choi, I., 2021. „When and how does sustainable HRM improve customer orientation of frontline employees? Satisfaction, empowerment, and communication.” Sustainability, Vol. 13, (7): 1-14.
7.Espino-Rodríguez, T. F., i Gil-Padilla, A.M. 2015. „The Structural and Infrastructural Decisions of Operations Management in the Hotel Sector and Their Impact on Organizational Performance“. Tourism and Hospitality Research 15
(1): 3–18. https://www.jstor.org/stable/26366451.
8.Gillespie, C., i Morrison, A. 2000. „Elite Hotels: A Cultural Cachet“. Tourism and Hospitality Research 2 (4): 315–325. http://www.jstor.org/stable/23745890.
9.Hajiali, I., Andi, M., Kessi, F., Budiandriani, B., Prihatin, E. i Mukhlis Sufri M. 2022. „Determination of work motivation, leadership style, employee competence on job satisfaction and employee performance. „Golden Ratio of Human Resource Management, Vol. 2, 1: 57-69.
10.Jones, P. 2024. „Wellness in the Global Hospitality and Tourism Industry."
Athens Journal of Tourism, Vol. 11, 3: 225-238.
11.Kattara, H. S., i El-Said O. A. 2013. „Customers’ Preferences for New Technology-Based Self-Services versus Human Interaction Services in Hotels“. Tourism and Hospitality Research 13 (2): 67–82. http://www.jstor.org/stable/43575064.
12.Pavlović, M., Stojanović, R., Perić, M. i Tešić, B. 2024. „Pokazatelji zadovoljstva korisnika banjskih usluga na području južne Srbije“. Oditor 10 (2): 32–84. https://doi.org/10.59864/Oditor22402MP.
13.Power, S., Di Domenico, ML. i Miller, G., 2024. „A longitudinal analysis of judgement approaches to sustainability paradoxes.” Tourism Management, Vol. 102,: 104877.
14.Stepanov, S., Paspalj, D. i Butulija, M. 2016. „Motivacija zaposlenih kao ključni pokazatelj zadovoljstva poslom“. Ekonomija: teorija i praksa 9 (2): 53–
67. https://doi.org/10.5937/etp1602053S.
15.Salem, I. E.-B. 2015. „Transformational Leadership: Relationship to Job Stress and Job Burnout in Five-Star Hotels“. Tourism and Hospitality Research 15 (4): 240–253. https://www.jstor.org/stable/26366460.
16.Walker, V., i Nickson, D. 2024. „Socially Irresponsible HRM: Findings from the UK Hotel Sector“. Journal of Business Ethics. https://doi.org/10.1007/s10551-024-05761-
17.Živković, D., Petrović, P. i Ercegović, M. 2021. „Uticaj pandemije na ekonomski razvoj: tercijalne delatnosti." Ecologica, Vol 28, 101: 99-104.
Objavljeno u
God. 11 Br. 3 (2025)
Ključne reči
🛡️ Licenca i prava korišćenja
Ovaj rad je objavljen pod Creative Commons Attribution 4.0 International (CC BY 4.0).
Autori zadržavaju autorska prava nad svojim radom.
Dozvoljena je upotreba, distribucija i adaptacija rada, uključujući i u komercijalne svrhe, uz obavezno navođenje originalnog autora i izvora.
Zainteresovani za slična istraživanja?
Pregledaj sve članke i časopise