Economic Indicators of Business and Living Standards of the Population, as Potential Factors, for Franchise Operations in the Services and Trade Sectors
Abstract
The paper analysed and asseed the basic elements of the economic efficiency of franchises in the field of trade and services in Serbia. The main economic indicators of performance, which include payback period, an accounting rate of return, net present value, profitability level and break-even analysis, are analysed and assessed. External factors that affect the total business, especially the location selection, are analysed through the impact of the standard of living of the population. Calculations and analyses were made based on the data on certain franchises and statistical data on trends in living standards for the cities and regions in the Republic of Serbia.
The number of inhabitants and the standard of living proved to be a factor in business decision making. Business buildings can be reasonably opened in areas with an average population of about 3.33 % of the total population. In regions and cities with a low percentage of population it is justified to open franchises if they are located at high frequency locations such as highway or tourist destinations.
It is very important to emphasize that for management, in addition to all the indicators analysed, it is very important to maintain standards that include a recognizable appearance, a standard quality offer, well-trained staff and everything else that the brand carries with them.
Article
Uvod
Osnovni cilj rada jeste da se pokažu značaj i uloga internih i eksternih analiza u oceni franšiza u Srbiji. Prva analiza se bavi izračunavanjem osnovnih ekonomskih pokazatelja o uspešnosti, profitabilnosti kompanija i povraćaju uloženih investicija. Druga analiza bavi se eksternim faktorom, odnosno, kako i na koji način životni standard stanovništva utiče na šanse otvaranja novih franšiza u Srbiji u oblasti usluga i trgovine. Rezultati veoma jasno pokazuju uslovljenost i uticaj životnog standarda na uspešnost i ekonomsku efikasnost, posebno izbor za lokaciju potencijalne franšizne operacije. Izračunavanja su urađena na osnovu analize baze podataka koje su formirane u prvom slučaju preuzimanjem bilansih podataka pojedinih franšiza. Druga analiza je urađena na osnovu statističkih podataka za pojedine gradove i regione u Republici Srbiji.
U tekstu je dat pregled literature, posebno stavovi i mišljenja koji ukazuju na značaj praćenja ključnih indikatora poslovanja, povraćaj investicija i procenu širih ekonomskih pokazatelja o ekonomiji zemlje i kretanju životnog standarda stanovništva. Metodologija izračunavanja ekonomskih pokazatelja poslovanja i uticaj životnog standarda su univerzalni i mogu se koristiti na primeru bilo koje zemlje, regiona ili oblasti.
Franšizne operacije i isprepletani ciljevi međunarodnih korporacija i domaćih kompanija
U poslovnim operacijama potpisivanja i započinjanja franšiza prožimaju se isprepletani ciljevi međunarodnih korporacija i domaćih kompanija. Delaney (2019) ističe da je osnovni cilj međunarodnih kompanija kod potpisivanja ugovora o franšizi strateški način za smanjenje zavisnosti od domaće potražnje i rast novih, budućih prihoda i profitnih centara širom sveta. Širenje brenda globalno putem franšizinga uključuje nizak rizik, zahteva minimalna ulaganja i nudi ogroman potencijal za povećanje kapaciteta. Za razliku od njih, domaće kompanije traže: (1) renomirani brend koji za kupca znači garanciju proizvoda i omogućava mu da se oseća kao kod kuće bilo gde da se nalazi u svetu. Zbog toga franšizni sistem vodi brigu o tome kome će poveriti svoju franšizu, jer dovoljna je jedna poslovna jedinica koja loše posluje pa da nanese velike štete;
(2) jednostavan, atraktivan proizvod ili uslugu koja treba da se fokusira na proizvode koji nisu kratkog veka, kod kojih prilikom prodaje ne postoje velike oscilacije u obimu i prihodima tokom godine; i (3) prepoznatljiv, razrađen poslovni sistem od koga domaća kompanija ili preduzetnik stiče pravo na korišćenje brenda, proizvoda ili usluge, kao i višegodišnje iskustvo davaoca franšize.
Uzajamna povezanost franšiznih operacija za davaoca i primaoca jeste zajednički uspeh koji se meri rastom prodaje, dobrim ugledom, očuvanjem brenda i posebno, dugoročnim perspektivama rasta i razvoja. Međutim, zajednički cilj često je rezultat dugih, komplikovanih i striktno potpisanih i preuzetih obaveza. U vezi s time, veoma je važno, kako Stanton (2019) navodi da je ,,franšiza atraktivna opcija za preduzetnike zbog procesa ,,ključ u ruke”, uspostavljenog brenda i dokazanog iskustva celog sistema.” Ipak, svaki preduzetnik ili korisnik franšize mora biti svestan sledećih pet pitanja: (1) da li potpisani ugovori, aranžmani ili franšizno poslovanje može da bude profitabilan biznis; (2) da li se znaju i mogu li da se identifikuju i saznaju ključni pokazatelji performansi – KPI, koji mere osnovne procese i faktore uspeha i istovremeno pomažu da se razume kompletan posao franšize, odnosno da se identifukuju osnovni pokretači uspeha; (3) da li su identifikovani i procenjeni stanje industrije i tržišni uslovi; (4) da li su izabrani poslovni aranžmani koji se znaju i razumeju i (5) da li se poseduju efektne i razvijene menadžerske funkcije u glavnim oblastima upravljanja, kao što su marketing, HRM, ITC, nekretnine i dnevne poslovne operacije.
Kao što se vidi, veoma je važno da se svaki aspekt, faktor i poslovna relacija dva partnera realno definišu, da se globalni aspekt i uspeh brenda svede i vidi u prizmi lokalne ekonomije, navika, kulture poslovanja i posebno, navika i ponašanja lokalnih potrošača. Franchising World (2019) naglašava i definiše dobru praksu za poboljšanje poslovanja franšize. Praktični i efektni pristupi unapređenju poslovanja su: (1) procena trendova i identifikovanje oblasti za poboljšanje su ključ za uspeh i maksimiziranje profitabilnosti. Prvo što treba uraditi jeste identifikovati podatke koji su potrebni da se razume kako da se radi i gde se može poboljšati poslovanje; (2) proceniti trendove, merila i upoređenja sa ostalim korisnicima franšize; (3) izmeriti i maksimizirati performanse, kao što su ključni indikatori performansi – KPI i pritom, da se podele podaci sa zaposlenim kako bi se povećala njihova uloga, obaveza vizija i nivo odgovornosti. Druge akcije mogle bi da budu da se praćenjem performansi zaposlenih odgovori na pitanja – kako može da se poboljša efikasnost kompanije uopšte i posebno efikasnost zaposlenih; identifikuje tražnja za proizvodima i uslugama, te da se istraže navike i preferencije stanovništva. Osim toga, veoma je važno da se znaju podaci o efikasnosti i povraćaju investicija, sezonski uticaj na prodaju, kretanje relevantnih cena ostalih proizvoda i troškovi režija; i (4) precizno definisanje relevantnih i validnih pokazatelja uspešnosti na svim franšiznim lokacijama. Postaviti cilj, izmeriti navedenu metu i analizirati te rezultate kako bi se dobili očekivani rezultati koje će proći svaki korisnik franšize.
Savremeno tržišno poslovanje prožimaju radikalne i kompleksne kvalitativno- kvantitativne promene koje dovode do potpuno novih zahteva u svim područjima života i rada individua, preduzeća i nacionalnih privreda. Tehnički progres i tehnološki napredak uslovljavaju kontinuirani rast i razvoj postojećih oblasti privređivanja, kao i pojavu novih privrednih grana, što dalje dovodi do „aranžiranja“ novog stanja na svetskom, regionalnom i loklanom tržištu. Unapređenje postojećih oblasti privređivanja, kao i razvoj novih oblasti implicira potrebu za novim polugama i pokretačima, kako u sferi finansijskog delovanja, tako i u oblasti odgovarajuće pravne regulative i usklađivanja tih novih odnosa. Nastaju novi poslovni modaliteti i novi načini povezivanja među učesnicima na tržištu, koji zahtevaju nove oblike finansiranja za nesmetano funkcionisanje. Trend stalnih promena, prouzrokovan nesigurnim stanjem na tržištu, kreira nove „stimulanse“ razvoja koji direktno podstiču rast i razvoj privede, čiji pozitivni efekti dovode do šireg društvenog blagostanja.
Kao plod traženja optimalnog rešenja za proširenje tržišta i pronalaženja novih šansi, osim merdžera i akvizicije, nastao je novi, atipični oblik finansiranja na tržištu – franšizing. Smisao nastanka franšizinga proizlazi iz činjenice da je pravo korišćenja imovine vrednije od samog vlasništva nad imovinom. Samo vlasništvo nad kapitalom, kao društvenim odnosom koji omogućava da se novčana sredstva oplođuju, nije najvažnija stavka u poslovanju, već „ustupanje“ njegovog korišćenja u funkciji produkovanja i uvećanja kapitala. Franšizing se bazira na poslovnoj filozofiji da je „vlasništvo izuzetan luksuz“. Franšizno poslovanje je vid poslovnog integrisanja u kojem se eksplicitan i uspešan poslovni koncept transformiše na neku drugu organizaciju. Time se apsorbuju raspoložive sposobnosti i sredstva.
Franšizing je široko zastupljen koncept poslovne saradnje koji predstavlja stimulans za razvoj preduzetničkog potencijala i ekonomije. On doprinosi stimulisanju preduzetnika sa nedovoljnim iskustvom da započnu sopstveni preduzetnički poduhvat i tokom vremena steknu zavidnu tržišnu poziciju. Davalac franšize ulaže svoj početni kapital, znanje i iskustvo, a primalac franšize daje svoj doprinos kroz dodatno ulaganje kapitala, poslovnog iskustva stečenog kroz poslovanje na raznim tržištima. Uživaoci franšizinga koriste razrađeni poslovni sistem, samim tim posao poprima dimenzije manje rizičnog biznisa.
Zbog niza pogodnosti koje pruža podjednako korisnicima i davaocima sistema, franšizing je u fazi ekspanzije u svetu. Sinonim za franšizing na svetskom nivou svakako predstavljaju američki restorani brze hrane McDonald‘s koji širom sveta pružaju identične usluge. Aktuelnosti ove teme svakako doprinosi činjenica da franšizni sistemi utiču na otvaranje velikog broja poslovnih jedinica u kratkom roku, što doprinosi otvaranju novih radnih mesta i angažovanju domaćeg kapitala, a to je od posebnog značaja u zemljama u razvoju.
Franšize i strategija prilagođavanja lokalnim prilikama i potrebama
World Franchising (2019) definiše franšize kao „sistem komercijalizacije proizvoda i, ili usluga i, ili tehnologije, koji se zasniva na bliskoj i kontinuiranoj saradnji preduzeća, pravno i finansijski posebnih i nezavisnih, franšizera i njegovih franšizanata, pri čemu franšizer odobrava svojim franšizantima pravo i nameće obavezu da vode preduzeće u saglasnosti sa konceptom franšizera. Tako ustupljeno pravo ovlašćuje i obavezuje franšizanta, u zamenu, za direktnu ili indirektnu finansijsku nadoknadu da koristi obeležje i, ili marku proizvoda i, ili usluge, znanja (know-how) i druga prava intelektualne svojine, potpomognut kontinuiranim obezbeđivanjem komercijlane i, ili tehničke pomoći u okviru i za vreme trajanja pisanog ugovora o franšizingu, zaključenog između stranaka u tom cilju.“
Za razliku od prethodne defnicije franšize Brown (2019) definiše ugovor o franšizingu kao „usmeni ili pismeni sporazum za određeno ili neodređeno vreme, kojim jedno lice ustupa drugom licu da upotrebljava firmu, uslužni znak, ili drugo obeležje, i u okviru koga postoji zajednički interes u plasiranju robe ili usluga na veliko, na malo, u zakup ili na drugi način pod tom licencom.“ Naglasak se daje na zajedničkom interesu u plasiranju roba ili usluga i zajedničkom rastu i razvoju.
Iz prethodno navedenih definica zaključujemo da je franšiza model ugovorne saradnje između pravno nezavisnih subjekata pri kome „lidersko“ preduzeće daje na korišćenje svoje licencirano pravo da njegove proizvode i usluge prodaju mala ili srednja preduzeća, koristeći se pri tome njegovom robnom markom kao i njegovim zavidnim iskustvom pri obavljanju delatnosti. Franšizing je proveren način da mala i srednja preduzeća uspeju u poslovanju koristeći se tuđim iskustvima i znanjima u vođenju datog posla.
Tri osnovna elemanta svakog franšiznog ugovora jesu:
· Renomirani brend – on za kupca znači garanciju proizvoda i omogućava mu da se oseća kao kod kuće bilo gde da se nalazi u svetu. Upravo zbog toga franšizni sistem vodi brigu o tome kome će poveriti svoju franšizu, jer dovoljna je jedna poslovna jedinica koja loše posluje da nanese velike štete;
· Jednostavan, atraktivan proizvod ili usluga – treba se forusirati na proizvode koji nisu kratkog veka, kod kojih prilikom prodaje ne postoje velike oscilacije u obimu i prihodima tokom godine;
· Prepoznatljiv, razrađe poslovni sistem – preduzetnik kupujući franšizu stiče pravo na korišćenje brenda, proizvoda ili usluge, kao i višegodišnje iskustvo davaoca franšize.
· Naknada za korišćenje.
Pojavu svake firme koja je spremna da putem franšiznih poslova širi svoju mrežu, treba videti kao priliku za veliki broj malih i srednjih preduzeća. Posmatrano sa preduzetničkog aspekta to znači mogućnost za otvaranje vlastitog posla uz brži i jednostavniji ulazak na tržište ponude, smanjen poslovni rizik i primerenu dobit u poslovanju, kao i brže vreme povrata uloženog kapitala.
Franšizne poslove prati smanjen tržišni i finansijski rizik, jer već stečeni ugled davaoca franšize, uz razvijen marketinški sistem olakšava njihov prodor na tržište uz veoma mali stepen sopstvenog ulaganja. Franšizing predstavlja paket prava koji obuhvata: marku, dizajn, znanje i stalnu podršku koju davalac franšizinga ustupa primaocu uz odgovarajuću nadoknadu i uz obavezu da se ne naruše prava ni jedne od stranaka. Ulazak u preduzetništvo putem franšize je otpočinjanje sopstvenog poslovanja, koje ne znači prepuštenost samom sebi jer franšizing pruža kompletni oprobani sistem poslovanja, robnu marku, priručnike, obuku, opremu i ostale usluge podrške.
Pored svih prednosti, mora se spomenuti i druga strana franšizing poslovanja, a to je činjenica da je profit u franšizi manji nego profit koji bi se ostvario u vlasništvu. Budući davalac franšize mora da se nosi sa neizbežnim problemima komunikacije i rada sa primaocima franšize. Početno ulaganje može biti skupo za potencijalnog privrednog subjekta, ali dugoročno rešava problem širenja poslovanja, kao i problem nedostatka tri osnovna faktora za poslovanje: vreme, novac i motivisana kadrovska struktura.
Slika 1: Osnovni pojmovi franšizinga

Na osnovu slike jasno se vidi da franšizing podrazumeva ustupanje od strane davaoca franšize postojećeg uspešnog modela poslovanja drugoj firmi – primaocu franšize. Korisnik franšize plaća novčanu nadoknadu i poštuje ugovorene standarde ponašanja.
The balance small business (2019) posebno podvlači da svaki franšizni sistem ima jednu jedinstvenu franšiznu ponudu, ali otvaranje i upravljanje sistemom pojedinačnih vlasnika, retko će i možda neće nikada biti kao što se predviđalo, ugovorilo i potpisalo. Zbog toga je važno da strateške i operativne poslovne odluke počivaju na specifičnostima i prilikama koje vladaju u regionu ili lokalnoj zajednici gde se otvara nova franšiza. Samo na taj način, moguće je osmisliti sopstvenu franšiznu ponudu i imati dgovarajući poslovni slučaj koji će omogućiti da se realno privuče i proširi sopstveni sistem franšize onako kako se i planiralo. Potrebno je osigurati usklađenost sopstvene ponude franšize, pravnih ugovora, naknade i struktura podrške sa dugoročnom strategijom razvoja i posebno, marketinškom strategijom ukoliko se žele postići planirani rezultati.
Franšize u Srbiji - Osnovni elementi uspeha i ekonomski pokazatelji poslovanja
Osnovni cilj svake kompanije pa i franšize, kao preduzetničkog modela, jeste profitabilno poslovanje. Franšizno poslovanje predstavlja investiciono ulaganje koje podleže ekonomskoj proceni i vrednovanju isplativosti. Franšizna ulaganja su složeni poslovni poduhvati koji zahtevaju angažovanje finansijskih sredstava i čija realizacija traje duži vremenski period. Da bi se projekat ocenio kao uspešan poslovni poduhvat i da bi se obezbedila prelomna tačka profitabilnosti u povoljnom roku, u oceni isplativnosti projektnog rešenja snažnu podršku daje cost-benefit analiza.
Postoji nekoliko metoda za procenu efikasnosti investicionih projekata. Zajedničko im je što se svi baziraju na proceni i upoređivanju obima izvršenih investicija i budućih ekonomskih koristi po osnovu tih investicija. Pri ocenjivanju ulaganja u franšizu polazimo od najjednostavnije metode vrednovanja – perioda povraćaja.
Period povraćaja (Payback Period) predstavlja broj godina koji je potreban da projekat svojim prinosima pokrije izvršeno inicijalno ulaganje, to jest period u kome će se suma novčanih priliva izjednačiti sa inicijalnim odlivom. Kalkulacija perioda povraćaja zasniva se na predviđanju neto novčanih tokova za prvih nekoliko godina i poređenju njihove akumulirane vrednosti sa investicionim odlivima. Ovaj investicioni kriterijum ne zahteva diskontovanje novčanih tokova, po čemu se ogleda njegova prednost. On je najjednostavniji indikator koji ukazuje na likvidnost posmatrane investicije, jer pokazuje dužinu „povezanosti“ finansijskih sredstava u projektu. Njime ne možemo utvrditi stvarnu rentabilnost investiranog projekta. Period povraćaja izračunava se korišćenjem formule
![]()

Važno je istaći da je za potrebe analize koja sledi urađena projekcija vrednosti investicija i novčanih priliva, na osnovu podataka o poslovanju posmatranih kompanija za 2018. godinu iz finansijskih izveštaja koji su dostupni na veb- sajtu Agencije za privredne registre. Projektovana vrednost investicije je izračunata kao količnik ukupne investirane imovine i broja poslovnih objekata, dok je projekcija novčanih priliva izračunata kao količnik novčanih tokova iz poslovne aktivnosti i broja poslovnih objekata.
Tabela 1. Period povraćaja za nekoliko vodećih franšiza u Srbiji

Kriterijum za prihvatanje ulaganja u datu franšizu je period povraćaja koji je niži od unapred definisanog standarda.
Koeficijent efikasnosti investicija, poznatiji kao računovodstvena stopa prinosa (Accounting Rate of Return). Drugi metod za evaluaciju investicija predstavlja relativni odnos računovodstveno projektovanog dobitka koji se očekuje i prosečnog iznosa investicija. Koeficijent efikasnosti investicija izračunava se korišćenjem formule:

Kriterijum za pozitivno ocenjivanje investicionog projekta predstavlja računovodstvena stopa prinosa koja je viša od očekivanog prinosa. Za obračun ARR pretpostavljamo da su tokovi rentabiliteta ekvivalentni novčanim tokovima.
Tabela 2 Prikaz koeficijenta efikasnosti investicija za nekoliko vodećih franšiza u Srbiji


Osnovni nedostatak prethodne dve metode za ocenu investiranja je zanemarivanje vremenske vrednosti novca.
Metod neto sadašnje vrednosti (NPV – Net Present Value) predstavlja razliku između sadašnje vrednosti neto novčanog toka od eksploatacije projekta i kapitalnog izdatka učinjenog u tom projektu. Najčešće se kao standardna stopa prinosa koristi diskontna stopa pomoću koje se budući novčani tokovi svode na sadašnju vrednost.

Dinamičke metode rangiranja investicionih projekata respektuju koncept vremenske vrednosti novca. Ovaj koncept objašnjava se tvrdnjom da dinar danas vredi više od dinara koji će biti primljen sutra ili bilo kada kasnije. To se obrazlaže shvatanjem da dinar danas može biti odmah uložen u posao kako bi se ostvario prinos od njegove upotrebe.
Tabela 3. Neto sadašnaja vrednost za nekoliko vodećih franšiza u Srbiji

Za obračun NSV korišćena je pretpostavljena diskontna stopa od 5% u periodu od deset godina.
Pravilo za odlučivanje glasi: ako je NSV veća od nule, projekat treba prihvatiti. Ovaj metod se smatra posebno pogodnim za ocenu investicionih projekata sa sukcesivnim ulaganjima u nekoliko faza.
Indeks profitabilnosti za razliku od prethodnog metoda relativizira rentabilnost izražavajući je u procentima:
![]()
Projekat se smatra isplativim ako je IP veći od jedan jer je sadašnja vrednost priliva veća od sadašnje vrednosti odliva.
Tabela 4. Prikaz indeksa profitabilnosti za nekoliko vodećih franšiza u Srbiji

Donja tačka rentabilnosti predstavlja analizu finansijske uspešnosti razmatranog posla, izvodi se iz računa rentabilnosti koji treba da prikaže da li je neki projekat finansijski isplativ. U okviru računa rentabilnosti poseban značaj se pridaje utvrđivanju nivoa prelomne tačke, koji ukazuje na potreban nivo prihoda neophodan za pokriće ukupnih troškova poslovanja.

Sve primenjene ekonomske metode obračuna investicionih projekata ukazuju da posmatrana franšizing ulaganja treba prihvatiti jer ne zahtevaju dugačak period povraćaja investiranog kapitala i sprovedeno budžetiranje, i na osnovu iskustva već otvorenih franšiza pokazuje se da su ulaganja rentabilna u planiranom periodu od deset godina.
Različiti oblici rizika mogu uticati na očekivani ishod jednog investicionog projekta. Sam rizik podrazumeva verovatnoću ostvarenja nekog događaja koji ne želimo, što bi za primenjenu investiciju značilo da se dogodi gubitak u budućnosti usled nedovoljnih, slabo dostupnih ili čak netačnih informacija prilikom odlučivanja o samoj investiciji. Radi upravljanja rizikom potrebno je analizirati sve potencijalne pretnje koje mogu da utiču na profitabilnost investicije u budućnosti. Jedan od faktora koji determiniše implementaciju investicionog projekta pokretanja franšize je životni standard stanovnika jedne zemlje, oblasti ili grada u kome bi potencijalna investicija bila pokrenuta. U mnoštvu pokazatelja životnog standarda, ističe se prosečna mesečna zarada stanovnika.
Franšize – rentabilno poslovanje i životni standard stanovnika u Srbiji
Analiza koja sledi treba da ispita da li životni standard stanovnika u Srbiji omogućava rentabilno poslovanje u svim delovima zemlje. Za potrebe analize podataka (testiranja hipoteza i kreiranja regresionog modela) posmatrane su promenljive prosečna zarada, broj stanovnika i broj franšiznih objekata u mestu ili određenoj oblasti. Sa stanovišta merenja promenljiva prosečna zarada je kvantitativna neprekidna, dok su promenljive broj stanovnika i broj franšiznih objekata kvantitativne diskretne slučajne promenljive. Za statističku obradu podataka korišćen je programski paket SPSS.
Rentabilno poslovanje franšiza u oblasti usluga i uticaj životnog standarda stanovnika
Za potrebe analize posmatrana su preduzeća Mc Donalds, Uniqua, Big blue i Trafika. Ukupan broj objekata na teritoriji Republike Srbije je 44. Pomatrane su prosečne zarade i broj stanovnika u kojima se poslovni objekti nalaze, što se može videti u Tabeli 5.
Tabela 5. Broj franšiznih objekata, prosečne zarade i broj stanovnika po gradovima

Ako posmatramo zarade u mestima u kojima postoje franšizni objekti, možemo uočiti da prosečna zarada iznosi 70.725,00 RSD uz standardnu devijaciju od 10.357,17 RSD. Sa verovatnoćom od 95% tvrdimo da se zarade kreću u intervalu od (64.744,95 - 76.705,05). Takođe možemo uočiti da je u 50% gradova zarada manja od 68.929,00 RSD.
Grafikon 1. Prosečne zarade u gradovama sa franšiznim objektima

Izvor: Grafikon je kreiran na osnovu podataka Republičkog zavoda za statistiku, kojima je moguće pristupiti na: http://data.stat.gov.rs/?caller=SDDB, [Pristupljeno: 20. maja 2019.].
Na Grafikonu 1. možemo uočiti da postoje uticajne tačke – tj. opservacije koje mogu da utiču na sam model, koji se nalazi u nastavku, na različite načine kao na primer na ocenjene koeficijente ili na rezultate testiranja. Autlajer – vrednost zavisne promenljive koja je sasvim drugačija od vrednosti predviđene modelom, dok za opservacije koje imaju neobične vrednosti prediktora kažemo da su high leverage. Ovde je veoma važno da za naš model odgovorimo da li ove tačke utiču na model.
Grafikon 2.

Kako je naša tačka autlajer, i kako su vrednosti koeficijenata nagiba sa autlajerom i bez njega veoma slične (0,0004 i 0,0002 a takođe je i r2 u drugom modelu nezantno – 0,62 u odnosu na 0,60 veći jer smo isključili tačku koja odstupa od ostalih vrednosti ), zbog svih ovih sličnosti možemo da zaključimo da tačka nije uticajna iako je autlajer.
Ukoliko uočimo jednačinu višestruke regresije koja pokazuje zavisnost broja otvorenih restorana od prosečnih zarada i broja stanovnika u nekom mestu ili nekoj oblasti (pomoću koje ćemo moći da procenimo broj restorana za određenu visinu prosečnih zarada i broja stanovnika), dobijamo:
Broj restorana = a0 + a1 ´Prosečna zarada + a2 ´ Broj stanovnika
Broj restorana = -2,47 + 0, 00004´ Prosečna zarada + 0,00001´ Broj stanovnika Sig. < 0,05 pa je model statistički značajan, a što se tiče regresionih koeficijeta statistički je značajan parameter a2 jer je njegova p-value < 0,05. Možemo
uočiti da je koeficijet determinacije (r2) 0,97 što znači da imamo 97%
objašnjenog varijabiliteta, što znači da broj objekata 97% varira kada variraju zarade i broj stanovnika, a smo 3% su neki drugi neobjašnjeni faktori.
Tabela 6. Vrednosti koeficijenata linarne regresije


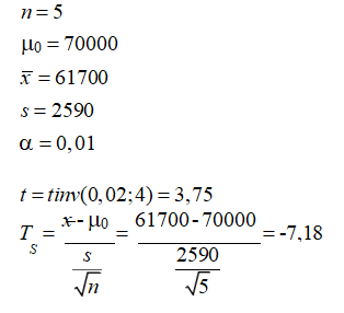
Ukoliko bi politika kompanije koja se bavi franšizama bila da poslovne objekte otvara u gradovima sa minimalnim mesečnim zaradama većim od 70.000, možemo na nivou značajnosti od 1% da testiramo hipotezu da li kompanija treba da otvori objekat u jednom od 5 gradova u Raškoj oblasti u kojoj prosečna zarada iznosi 61.700 RSD, uz standardnu devijaciju od 2.590 RSD.
![]()
Imamo da je:

Kako je Ts < 3,75, odbacuje se nulta hipoteza, pa kompanija ne treba da otvori objekat u posmatranoj Raškoj oblasti.
Rentabilno poslovanje franšiza u oblasti trgovine i uticaj živornog standarda stanovnika
U tabeli koja sledi u nastavku za potrebe analize posmatrana su preduzeća „Tarfika” i „Dve šmizle” .
Tabela 8. Broj franšiznih objekata, prosečne zarade i broj stanovnika po oblastima

Prosečna zarada u oblastima u kojima posluju franšizni objekti iznosi 69.641,31 RSD, uz standardnu devijaciju od 8.639,55 RSD. 95% interval poverenja za prosečne zarade se kreće u interval (64420,48 - 74862,13). Koeficijent varijacije za prosečne zarade iznosi 12,41% pa su podaci u seriji homogeni.
Koeficijent korelacija za broj stanovnika i prosečne zarade iznosi r=0,78, pa je veza jaka, dok koeficijent korelacije za promenljive broj objekata i broj stanovnika iznosi r=0,97, pa je veza veoma jaka.
Garfikon 3. Broj stanovnika u oblastima sa franšiznim objektima

Izvor: Grafikon je kreiran na osnovu podataka Republičkog zavoda za statistiku, kojima je moguće pristupiti na: http://data.stat.gov.rs/?caller=SDDB, [Pristupljeno: 20. maja 2019.]
Ukoliko bi kompanija imala nameru, ili to bila njena poslovna odluka, da otvori objekte u oblastima gde je prosečan broj stanovnika najmanje 250.000, možemo testirati hipotezu da li treba otvoriti objekte u nekoj od 5 posmatranih oblasti u kojima je prosečan broj stanovnika 224.134 sa standardnom devijacijom od 57.574, na nivou značajnosti od 0,05%.


Kako je Ts < 2,13, odbacuje se nulta hipoteza, pa kompanija ne treba da otvori objekat u posmatranim oblastima sa prosečnim brojem stanovnika od 224.143.
Zaključak
Republika Srbija je veliki neiskorišćeni potencijal za franšizna ulaganja, kao savremenog poslovnog oblika međunarodnog finansiranja, s obzirom na veoma mali procenat učešća franšize u ukupno ostvarenom prometu zemlje. Da bi franšizing postao osnovni način preduzetničkog ulaganja, neophodno je obezbediti adekvatnu tržišnu klimu praćenu odgovarajućom zakonskom regulativom i neophodnim institucijama za primenu. Prethodne ekonomske analize isplativosti franšiznih ulaganja su ukazale na opravdanost samih ulaganja, s tim što se mora voditi računa o područjima koja bi bila potencijalna destinacija za ulaganje a sve vezano za prosečne zarade i broj stanovnika u području. Broj stanovnika se pokazao kao značaj faktor pri poslovnom odlučivanju, jer se poslovni objekti mogu opravdano otvoriti na područjima sa prosečnim brojem stanovnika od oko 3,33% ukupnog broja stanovnika. U područjima sa manjim procentom naseljenosti opravdano je otvarati franšize ukoliko se nalaze na lokacijama sa velikom frekvencijom kao što su auto-putevi ili turističke destinacije koje posećuje veliki broj kako domaćih tako i starnih turista ili osoba koje su u tranzitu. Takođe je veoma važno istaći da je za menadžment pored svih analiziranih pokazatelja veoma važno održavanje standarda koje uključuje prepoznatljiv izgled, ponudu standardnog kvaliteta, dobro obučeno osoblje i sve ostalo što brend nosi sa sobom.
References
[Pristupljeno: 20. maja 2019.].
2.Brown, H.(1969), Franchising,Trap for Trusting, Boston: Appendix A.
3.Bisio, R. (2008) The Educated Franchisee: The How-To Book for Choosing a Winning Franchise. Minneapolis: Bascom Hill Publishing Group.
4.Duhigg, C. (2017) Smarter Faster Better: The Transformative Power of Real Manhattan: Productivity. Random House Trade Paperbacks.
5.Delaney, L. (2018) A Global Strategic Guide to International Franchising, available at https://www.thebalancesmb.com/international-franchising-a- global-strategic-initiative-1953329 [Pristupljeno: 24. juna 2019.].
6.Erceg, A. (2017) Franšiza: način pokretanja poduzetničkog pothvata i strategija rasta poslovanja. Osijek: Ekonomski fakultet.
7.Franchising World (June 2019), available at https://mydigitalpublication.com/publication/?i=592544#{%22issue_id%22
:592544,%22page%22:64} [Pristupljeno: 24. juna 2019.].
8.Grossmann, R. & Katz, J.M. (2017) Franchise Bible: How to Buy a Franchise or Franchise Your Own Business. Irvine: Entrepreneur Press.
9.Hayes, P. J. (2013) 101 Questions to ask before you invest in a Franchise. London: Kindle edition.
10.Maillet, W. (2014) Franchising Demystified: The Definitive Franchise Handbook. Victoria: Friesen Press.
11.Martuza, M. (2014) The Franchise Rules: How To Find A Great Franchise That Fits Your Goals, Skills and Budget. London: Kindle book.
12.Miller, C. (2017) Brick & Mortar Franchise Success: Know the Costs or Pay the Price. Scotts Valley: Create Space Independent Publishing Platform.
13.McDonalds restorani, https://www.mcdonalds.rs/restorani/, [Pristupljeno:
20. maja 2019.].
14.Portal i ideja za preduzetnike, katalog franšiza, https://franchising.rs/katalog-fransiza/, [Pristupljeno: 20. maja 2019.].
15.Republički zabod za statistiku, http://data.stat.gov.rs/?caller=SDDB, [Pristupljeno: 20. maja 2019.].
16.Seid, M. & Thomas., D. (2016) Franchising for Dummies, 2nd edition. London: John Wiley and Sons Ltd.
17.Stanton, M (2019) 5 factors franchisees must know before signing on the dotted line, available at https://www.franchise.org/franchise- information/franchise-development/5-factors-franchisees-must-know- before-signing-on-the-dotted-line [Pristupljeno: 24. juna 2019.].
18.The balance small business (2019) Franchise Your Business: An Overview, available at https://www.thebalancesmb.com/franchise-your-business-an- overview-1349613 [Pristupljeno: 24. juna 2019.].
19.Turistička agencija Big Blue, https://franchising.rs/clanak/517/big-blue- fransiza/, [Pristupljeno: 20. maja 2019.].
Published in
Vol. 5 No. 3 (2019)
Keywords
🛡️ Licence and usage rights
This work is published under the Creative Commons Attribution 4.0 International (CC BY 4.0).
Authors retain copyright over their work.
Use, distribution, and adaptation of the work, including commercial use, is permitted with clear attribution to the original author and source.
Interested in Similar Research?
Browse All Articles and Journals